Назад Тригонометрия. Формулы

Сборник основных тригонометрических формул
Скачать APK   11,0 Мб
Имя пакета: ru.familion.trigonometry
Тригонометрия. Формулы
Скачать APK   11,0 Мб

Описание игры

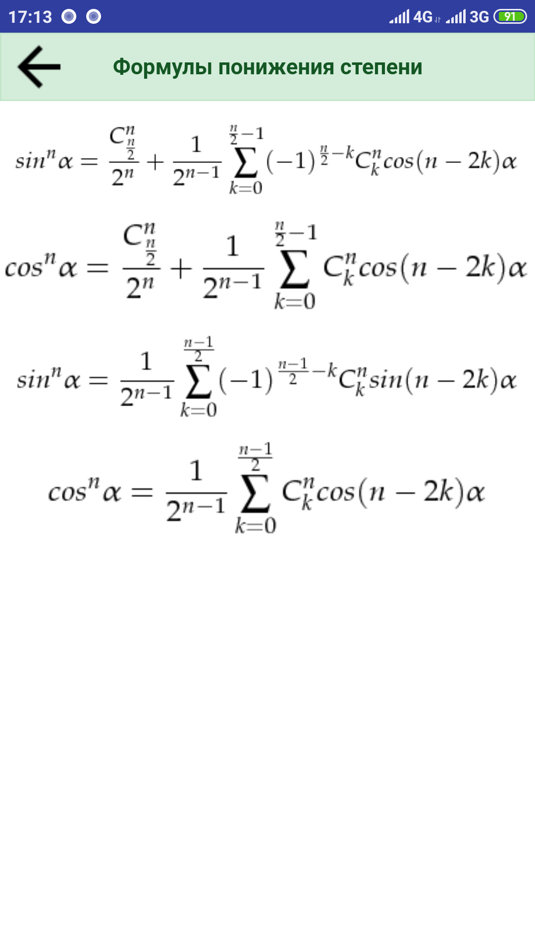
Это приложение – бесплатный справочник тригонометрических формул или тригонометрических тождеств, описывающих зависимости между синусом, косинусом, тангенсом и котангенсом и применяемых при решении математических задач.
В приложение собраны основные тригонометрические тождества (равенства), формулы понижения степени, формулы двойного угла, косинус двойного угла, синус двойного угла, а также другие формулы. Дополнительно приведены значения тригонометрических функций для наиболее распространённых углов.

Другие игры

Фонарик многофункциональный
Многофункциональный яркий LED фонарь для Вашего телефона на платформе Android.
Мои рецепты: выпечка
Лучшие рецепты куличей, кексов, рулетов, печенья, глазури.
Мои рецепты: мультиварка
Сборник популярных рецептов для мультиварки
Изучаем цвета
Приложение 1А: Цвета поможет Вашему ребенку быстро изучить основные цвета.
Интересная викторина
Викторина для эрудитов с интересными вопросами.
Мои рецепты: детское питание
Сборник рецептов для детей в возрасте от 6 месяцев и старше.
Пазл: красивые птицы
Это приложение - коллекция красивых фото пазлов птиц.
Изучаем алфавит
Изучаем алфавит - детское приложения для изучения алфавита.
Babyphone детский телефон
Увлекательная музыкальная игрушка-телефон для вашего малыша
Психологические тесты
Предлагаем Вам небольшие, но увлекательные психологические тесты